Armed With The Truth • United We Stand

Study Of 8.4 Million People Confirms Turbo Cancer Epidemic Among The Covid mRNA “Vaccinated”

Study Of 8.4 Million People Confirms Turbo Cancer Epidemic Among The Covid mRNA “Vaccinated”

SlayNews.com | Frank Bergman

One of the largest studies in history has just confirmed that multiple deadly cancers are skyrocketing among people who received Covid mRNA “vaccines.”

The findings confirm reports of a “turbo cancer” epidemic that has long been dismissed by the corporate media and so-called “fact-checkers” as a “conspiracy theory.”

A massive peer-reviewed study from leading researchers in South Korea tracked a staggering 8.4 million people.

The study was conducted by a team of South Korean researchers led by Dr. Hong Jin Kim and Dr. Min-Ho Kim of the Department of Orthopedic Surgery at the Kyung-in Regional Military Manpower Administration.

Their findings were published in the Biomed Central (BMC) medical journal.

Participants were monitored for several deadly cancers after they received a Covid mRNA injection.

The results are nothing short of catastrophic.

Cancer Rates Skyrocketing Post-Vaccination

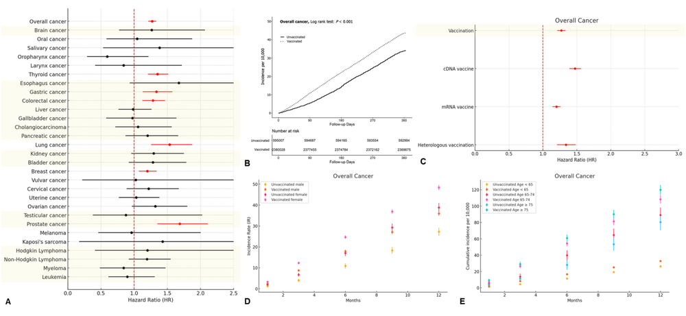
Within just one year of vaccination, researchers documented dramatic increases across six major cancers:

   • Prostate cancer: +69%

   • Thyroid cancer: +35%

   • Stomach cancer: +33%

   • Colorectal cancer: +28%

   • Lung cancer: +53%

   • Breast cancer: +20%

These are not minor upticks, the researchers warn.

In the case of lung and prostate cancers, the risks were exploding.

The finding is a devastating red flag that the injections were seeding long-term illness in otherwise healthy populations.

The researchers compared mRNA (Pfizer, Moderna), cDNA (AstraZeneca, J&J), and mixed schedules.

Rather than relying on unreliable hospital data, the analysis was conducted on nationwide insurance records.

The study found that every type of “vaccine” carried alarming associations with cancer development:

The study confirmed that thyroid, colorectal, lung, and breast cancers skyrocketed among those who received mRNA “vaccines.”

However, thyroid, stomach, colorectal, lung, and prostate cancers also surged after cDNA injections.

In addition, the mixed schedules were linked to significant spikes in thyroid and breast cancers.

Even worse, so-called “booster” doses dramatically amplified the risk, particularly for stomach and pancreatic cancers.

Each re-exposure to the spike protein deeps cellular damage, the study warns.

The study also found that cancers spiked among younger, otherwise healthy people who received “vaccines.”

Under 65s saw thyroid and breast cancer rates climb at an alarming level.

Meanwhile, men over 75 suffered sharp spikes in prostate cancer.

This wasn’t a marginal effect on the frail and elderly.

The study confirms that cancers spread rapidly across age groups.

Leading experts are warning that the findings underline the systemic danger of the “vaccine” campaign.

Most chillingly, the authors admitted the spike protein from the “vaccines” resembles cancer-linked viruses like HPV and Epstein–Barr.

Combined with chronic inflammation and immune disruption triggered by the shots, the stage is set for tumor growth and rapid progression.

This aggressive growth and spread is the very definition of “turbo cancers.”

The news comes after Russia’s leading experts recently warned that chilling new evidence proves that the global turbo cancer crisis was caused by Covid mRNA “vaccines.”

As Slay News reported, Russian scientists confirmed the link between mass mRNA “vaccination” and skyrocketing cancer cases and deaths recorded around the world.

The study was led by renowned Russian researcher Angelina Alekseevna Seliverstova and Dr. Oleg Germanovich Makeev, Professor of Biology and Biotechnology at Ural State Medical University in Yekaterinburg.

Their findings confirm that the worldwide rollout of Covid mRNA shots triggered unexpected long-term safety risks.

The impact of the mass “vaccination” campaign includes skyrocketing rates of cancer, which are still rising dramatically, they warn.

For years, politicians, Big Pharma, and captured health agencies insisted the shots were “safe and effective.”

Critics who raised concerns about long-term risks were mocked, censored, and smeared as “conspiracy theorists.”

Now, with hard population-wide data, those warnings have proven that the experimental rollout has created a global cancer time bomb.

The South Korean findings demand urgent global investigation.

Instead of doubling down on failed policies, governments must face the truth and admit that the mass “vaccination” campaigns have unleashed the worst public health disaster in human history.


Study + Image Source: https://biomarkerres.biomedcentral.com/articles/10.1186/s40364-025-00831-w

Original Article: https://slaynews.com/news/study-8-million-confirms-deadly-cancers-surging-among-covid-vaxxed/

© Truth11.com 2026